Übungen zur medizinischen Biometrie
Aufgabe der deskriptiven Statistik ist es, die in den Daten der Stichprobe enthaltene Information übersichtlich und unverfälscht in Tabellen, Grafiken und statistischen Maßzahlen zusammenzufassen. Wie das zu geschehen hat, hängt entscheidend vom Typ des betrachteten Merkmals ab.
- tabellarische und graphische
Darstellung der Daten eines qualitativen
Merkmals
- tabellarische und graphische Darstellung der Daten
eines quantitativen Merkmals
- statistische Maßzahlen
- Lagemaße
- Streuungsmaße
- empirische Verteilungsfunktion
- Häufigkeitsmaße in der Epidemiologie
2.2 Tabellarische und graphische Darstellung bei qualitativen Merkmalen
Im wesentlichen wird die Auswertung qualitativer Merkmale hier auf die Darstellung der absoluten bzw. der relativen Häufigkeiten beschränkt.
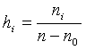
Sei A ein qualitatives Merkmal mit den Ausprägungen A1,...,Ak. In einer Stichprobe vom Umfang n habe man die Ausprägung Ai mit der absoluten Häufigkeit ni beobachtet (i=1,2,.....,k). Bei n0 Beobachtungseinheiten aus der Stichprobe fehle die Angabe zum Merkmal A.
Dann ist offenbar
.
Unter den relativen Häufigkeiten, genauer den adjustierten relativen Häufigkeiten, versteht man
(i = 1,2,...,k).
Der Zusatz "adjustiert" soll betonen, dass man bei der Berechnung nur diejenigen Beobachtungseinheiten berücksichtigt, bei denen die Angaben zum Merkmal A tatsächlich vorliegen. Meist werden die relativen Häufigkeiten in Prozent angegeben:
hi = hix100%,
also z. B. 30 % statt 0.3.
Eine Tabelle der adjustierten relativen
Häufigkeiten sollte stets auch den Stichprobenumfang und
die Anzahl bzw. den Anteil fehlender Werte enthalten.
Beispiel 2.1 Bei einer Stichprobe von Patienten, die
unter Krampfadern im Unterschenkelbereich litten, wurde
eine Salbe zur Linderung der Beschwerden angewandt. Eine
halbe Stunde nach Auftragen der Salbe wurden die
Patienten befragt, ob eine Besserung eingetreten sei. Es
ergab sich folgende Urliste: Tabelle
2.1: Urliste für das Merkmal Besserung nach Salbenbehandlung Aus dieser Urliste ergibt sich die folgende Tabelle der
absoluten und der relativen Häufigkeiten. Tabelle
2.2: Häufigkeiten für das Merkmal Besserung nach Salbenbehandlung Häufigkeit Häufigkeit
Für die graphische Darstellung gibt es viele Varianten.
Am einfachsten ist das Blockdiagramm. Die
Merkmalsausprägungen werden an einer Achse in beliebiger
(nominales Merkmal) bzw. in der natürlichen Reihenfolge
(ordinales Merkmal) angetragen. Darüber wird ein Block
gezeichnet, dessen Höhe der absoluten bzw. der relativen
Häufigkeit der Ausprägung entspricht. Die Breite der
Blöcke ist beliebig, sie soll aber für alle Blöcke
gleich sein.
Patient
Besserung Patient
Besserung 1
gering 13
gering 2
deutlich 14
gering 3
gering 15
keine
4
deutlich 16
keine Angabe 5
gering 17
gering 6
keine 18
deutlich 7
deutlich 19
deutlich 8
deutlich 20
gering 9
keine Angabe 21
keine Angabe 10
gering 22
gering
11
keine 23
gering 12
keine Angabe 24
deutlich
Besserung
absolute
relative
adjustierte
relative Häufigkeit
keine
3
12.5%
15%
gering
10
41.7%
50%
deutlich
7
29.2%
35%
keine Angabe
4
16.6%
Gesamt:
24
100%
100%
Bei einem Flächendiagramm entspricht der absoluten bzw. der relativen Häufigkeit der Ausprägung der Flächeninhalt des zugeordneten Segments.
Applet - Graphische Darstellung von qualitativen Merkmalen
2.3 Tabellarische und graphische Darstellung bei quantitativen Merkmalen
Die Darstellung für ein quantitativ diskretes Merkmal folgt im wesentlichen der bei den qualitativen Merkmalen. Zusätzlich werden die absoluten und die relativen Häufigkeitssummen betrachtet, die definiert sind als
(i
= 1,2,...,k) absolute
Häufigkeitssumme,
(i
= 1,2,...,k) relative
Häufigkeitssumme.
Diese Definition benutzt die Tatsache, dass die Ausprägungen eines quantitativ diskreten Merkmals stets in natürlicher Weise von den kleinen zu den großen Werten geordnet sind. Ni bzw. Hi geben dann Antwort auf die Frage, wie groß die Anzahl bzw. der Anteil der Beobachtungseinheiten mit Ausprägungen kleiner oder gleich der i-ten Ausprägung ist (i = 1,2,...k). Die geeignete graphische Darstellung für die Häufigkeiten bei einem diskreten Merkmal ist das im wesentlichen dem Blockdiagramm entsprechende Stabdiagramm
In einer Therapiestudie wurden die Häufigkeiten für das diskrete Merkmal Anzahl der gemeldeten Nebenwirkungen ermittelt. Tabelle 2.3 enthält das Ergebnis. In Abbildung 2.4 sind die Häufigkeiten als Stabdiagramm dargestellt.
Anzahl der Nebenwirkungen |
absolute Häufigkeit |
relative Häufigkeit (%) |
absolute Häufigkeitssumme |
relative Häufigkeitssumme |
0 |
209 |
41.8% |
209 |
41.8% |
1 |
122 |
24.4% |
331 |
66.2% |
2 |
108 |
21.6% |
439 |
87.8% |
3 |
44 |
8.8% |
483 |
96.6% |
4 |
13 |
2.6% |
496 |
99.2% |
5 |
0 |
0.0% |
496 |
99.2% |
6 |
4 |
0.8% |
500 |
100.0% |
Applet - Explorative Datenanalyse -- Datensatz "AML" - Stabdiagramm "Anzahl der Geschwister"
Wenn man die Häufigkeitsverteilung eines quantitativ stetigen Merkmals tabellarisch oder graphisch darstellen will, muss man das Merkmal klassieren. Das bedeutet, man zerlegt den gesamten Wertebereich des Merkmals in k Klassen. Die Klassengrenzen bezeichnet man mit a0<a1<...<ak.
ai-ai-1 (i = 1,2,...k) ist die Breite der i-ten Klasse, die man normalerweise für alle Klassen gleich groß wählt. Wenn der Wertebereich des Merkmals allerdings nach links bzw. rechts unbegrenzt ist, führt man eine linke bzw. eine rechte Restklasse ein, die nach links bzw. rechts unbegrenzt ist. Die Anzahl k der Klassen sollte nicht zu groß und nicht zu klein sein. Als Faustregel für die Wahl von k gilt
.
Die zugehörige graphische Darstellung ist das Histogramm. Hier werden die absoluten oder die relativen Häufigkeiten als Höhe eines Rechtecks über der gesamten Klasse dargestellt.
In Tabelle 2.4 liegen die bereits klassierten Altersangaben von 25 Patienten einer Klinischen Studie vor.
Tabelle 2.4: Häufigkeitsverteilung des klassierten stetigen Merkmals Alter in Jahren
| Klasse | Alter in Jahren | Klassenmitte | Häufigkeiten absolut / relativ |
|
| 1 | (45,55] | 50 | 2 | 2/24=.08 |
| 2 | (55,65] | 60 | 8 | 8/24=0.33 |
| 3 | (65,75] | 70 | 11 | 11/24=0.46 |
| 4 | (75,85] | 80 | 2 | 2/24=0.08 |
| 5 | (85,95] | 90 | 1 | 1/24=0.04 |
| Summe | ----- | ------ | 24 | 1 |
Die runde Klammer besagt, dass die entsprechende Klassengrenze selbst nicht zur Klasse gehört, die eckige Klammer zeigt an, dass die entsprechende Klassengrenze dazugehört.
Das zugehörige Histogramm ist in Abbildung 2.5 zu sehen
Applet - Histogramm mit veränderbarer Klassenbreite
Applet - Histogramm
und Normalverteilungsplot
Applet - Explorative Datenanalyse -- Datensatz "AML" - Histogramm "Größe"
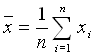
Liegen Daten xi zu einem quantitativen Merkmal vor, läßt sich die darin enthaltene Information, übersichtlich in sogenannten statistischen Maßzahlen zusammenfassen. Man unterscheidet Lagemaße und Streuungsmaße.
Lagemaße charakterisieren den Durchschnitt von Daten. Die bekanntesten Lagemaße sind der
arithmetische Mittelwert
:

und der empirische Median
.
Zur Berechnung
des empirischen Medians müssen die Daten der Größe
nach geordnet werden, d. h. man geht von der Urliste der
Daten x1, x2,
..., xn zur Rangliste x(1)
x(2)
...
x(n)
über, indem man die Daten der Größe nach ordnet, (i)
heißt Rangzahl. Die Rangzahl gibt den Platz auf der Rangliste
an. (1) ist die Rangzahl des kleinsten Wertes, (n) ist
die Rangzahl des größten Wertes. Der empirische Median
ist der Wert "in der Mitte" der Rangliste, d.
h. die Hälfte der Meßwerte sind kleiner bzw. größer als der Median.
falls
n ungerade,
und
falls
n gerade.
Oft verwendet man für ein gerades n auch die Formel
.
Beim Vergleich von Mittelwert und empirischem Median stellt man fest, dass man zur Berechnung des Mittelwertes alle Daten x1, x2, ..., xn vollständig kennen muss, während zur Berechnung des empirischen Medians grob gesprochen die erste Hälfte der Daten ausreicht.
Hat man z. B. eine Stichprobe vom
Umfang n=3 und kennt x1 = 2, x2
= 4, und von x3 weiß man nur, dass
es größer ist als x2 = 4, dann kann
man den Mittelwert nicht angeben, aber für den
empirischen Median gilt
, gleichgültig
wie groß x3 ausfällt. Aus dieser
Beobachtung folgt, dass der empirische Median robust ist gegenüber Ausreißern. Dieser
Sachverhalt wird bei der Auswertung von Überlebenszeiten
noch eine Rolle spielen.
Man kann den empirischen Median auch mit Hilfe der empirischen Verteilungsfunktion Fn definieren.
Fn gibt für jedes x auf der Zahlengeraden an, wie groß der Anteil der Daten ist, die kleiner oder gleich x sind. Für x(1), den kleinsten Wert, gilt
,
- aber nur falls alle Daten voneinander verschieden sind - für x(n), den größten Wert, gilt
.
Damit ist der empirische Median
der kleinste Wert, für den gilt
.
Entsprechend definiert man mithilfe der empirischen Verteilungsfunktion als weitere Lagemaße die sogenannten empirischen Quantile xp (0<p<1) : xp ist der kleinste Wert, für den gilt: Fn(xp) >= p. Insbesondere werden x0.25 und x0.75 betrachtet. x0.25 heißt 1. Quartil, x0.75 3. Quartil. In dieser Terminologie ist der empirische Median das 2. Quartil
![]()
In Analogie zur Berechnung des Medians werden die Quartile oft folgendermaßen berechnet. Die gesamte Rangliste wird in zwei Hälften geteilt. Das erste Quartil ist der Wert "in der Mitte" der ersten Hälfte der Rangliste, d. h. die Hälfte der halbierten Meßreihe sind kleiner bzw. größer als das erste Quartil. Analog wird das 3. Quartil berechnet. Das oben beim Median erwähnte Verfahren bei geraden Anzahlen den Mittelwert der Rangwerte (n/2) und (n/2 +1) zu verwenden, wird oft auch bei der Quartilsberechnung benutzt.
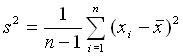
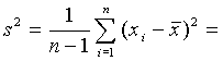
Streuungsmaße sind Maßzahlen für die Abweichung der Meßwerte vom Durchschnittswert. Die bekanntesten Streuungsmaße sind die empirische Varianz s2

und die empirische Standardabweichung
Wegen des Quadrierens lässt sich die empirische Varianz als Zahlwert anschaulich kaum interpretierten, während sich die empirische Standardabweichung grob als mittlere Abweichung der Daten von ihrem Mittelwert deuten lässt.
Als weitere Streuungsmaße betrachtet man die empirische Spannweite R (engl.: range):
R = xmax-xmin = x(n)-x(1)
und den empirischen Interquartilsabstand
q = x0.75-x0.25 .
Die empirische Spannweite ist offenbar extrem ausreißerempfindlich, der empirische Interquartilabstand ist ein stabileres Streuungsmaß.
Mit dem Adjektiv "empirisch" bei den Maßzahlen, soll betont werden, dass sich diese Maßzahlen tatsächlich aus der Stichprobe berechnen lassen. Später sollen sie den analogen Maßzahlen der Grundgesamtheit gegenübergestellt werden, die sich zumeist nicht berechnen lassen. Vielmehr werden die empirischen Maßzahlen der Stichprobe als Schätzwerte für die theoretischen Maßzahlen der Grundgesamtheit dienen. Wenn aus dem Zusammenhang ersichtlich ist, ob die Grundgesamtheit oder die Stichprobe gemeint ist, soll in Zukunft das Adjektiv empirisch entfallen.
In Tabelle 2.5 finden Sie für 16 weibliche Patienten einer Klinischen Studie die Angaben zur Körpergröße in cm. Die Daten liegen in Form einer Rangliste vor, d. h. sie sind bereits aufsteigend sortiert.
Tabelle 2.5: Körpergröße von 16 Patienten
| Lfd. Nr. i | Größe |
emp.
Verteilungsfunktion
|
||
| 1 | 155 | -10.1875 | 103.785 | 1/16 = 0.0625 |
| 2 | 158 | -7.1875 | 51.660 | |
| 3 | 158 | -7.1875 | 51.660 | 3/16 = 0.1875 |
| 4 | 159 | -6.1875 | 38.285 | 4/16 = 0.2500 |
| 5 | 162 | -3.1875 | 10.160 | 5/16 = 0.3125 |
| 6 | 165 | -0.1875 | 0.035 | |
| 7 | 165 | -0.1875 | 0.035 | |
| 8 | 165 | -0.1875 | 0.035 | |
| 9 | 165 | -0.1875 | 0.035 | 9/16 = 0.5625 |
| 10 | 166 | 0.8125 | 0.660 | |
| 11 | 166 | 0.8125 | 0.660 | 11/16 = 0.6875 |
| 12 | 167 | 1.8125 | 3.285 | 12/16=0.7500 |
| 13 | 170 | 4.8125 | 23.160 | |
| 14 | 170 | 4.8125 | 23.160 | 14/16=0.8750 |
| 15 | 176 | 10.8125 | 116.910 | |
| 16 | 176 | 10.8125 | 116.910 | 16/16=1.0000 |
| Summe | 2643 | 0.0000 | 540.437 |
Aus den Werten der Tabelle 2.5 erhält man die folgende graphische Darstellung der empirischen Verteilungsfunktion.
Abbildung 2.6: Empirische Verteilungsfunktion für das Merkmal Größe

Applet - Explorative Datenanalyse -- Datensatz "AML" - Verteilungsfunktion "Größe"
Aus den Werten der Tabelle 2.5 erhält man die folgenden Lagemaße und Streungsmaße.
Lagemaße
empirisches Minimum xmin = 155
empirisches 0.25-Quantil (1. Quartil) x0.25
= 159
alternativ 0.5*(x(4) + x(5)) =160.5
empirischer Median (2. Quartil)
165
alternativ x0.5 =165
empirisches 0.75-Quantil (3. Quartil) x0.75 = 167
alternativ 0.5*(x(12) + x(13)) =168.5
empirisches Maximum xmax = 176
Mittelwert
165.1875
Streuungsmaße
empirische Spannweite (Range) R = xmax-xmin = 21
empirischer Interquartilsabstand q = x0.75-x0.25 = 8
empirische Varianz
36.0292
empirische Standardabweichung
6.0024
Javascript - Statistische Maßzahlen
Applet - Explorative Datenanalyse -- Datensatz "AML" - Basisstatistik "Größe" 
2.5 Boxplot
Der Boxplot ist eine graphische Darstellung, mit der man sich einen guten Überblick über die Verteilung der Daten einer Stichprobe verschaffen kann.
In einem Koordinatensystem, an dessen y-Achse eine Skala für das betrachtete Merkmal abgetragen ist, wird der Interquartilsabstand q als Kasten (engl.: box) eingezeichnet. Vom oberen Ende des Kastens wird eine Strecke bis zum maximalen Wert gezeichnet, die aber nicht länger als das 1.5-fache des Interquartilsabstandes gezogen wird. Falls es Werte gibt, die mehr als 1.5x q vom oberen Ende entfernt sind, so werden diese einzeln als Punkte eingetragen.
Entsprechend verfährt man am unteren Ende des Kastens mit dem minimalen Wert. Zusätzlich wird die Position des empirischen Medians und manchmal auch die des Mittelwertes markiert. In dieser Definition umfasst der Kasten gerade die mittleren 50 % der Daten. Es gibt auch andere Varianten des Boxplots. Wenn man statistische Software benutzt, muss man prüfen, ob diese oder eine andere Definition benutzt wird.
Die Darstellung als Boxplot ist sehr nützlich, insbesondere dann, wenn man Untergruppen der Stichprobe vergleichen will.
Tabelle 2.6 enthält die statistischen Angaben für alle 140 Patienten (59 männliche, 81 weibliche) einer Studie.
Tabelle 2.6: Basisstatistik: Körpergröße
| Größe | Geschlecht |
|
Männlich |
Weiblich |
|
| N | 57 |
76 |
| fehlend | 2 |
5 |
| xmin | 160.00 |
148.00 |
| x0.25 | 171.00 |
160.00 |
176.00 |
165.00 |
|
| x0.75 | 180.00 |
170.00 |
| xmax | 190.00 |
180.00 |
176.12 |
164.87 |
|
| empirische Spannweite R | 30.00 |
32.00 |
| empirischer Interquartilsabstand q | 9.00 |
10.00 |
| s2 | 49.72 |
44.76 |
| empirische Standardabweichung s | 7.05 |
6.69 |
Aus den Angaben in Tabelle 2.6 erhält man in Abbildung 2.7 einen nach Geschlecht getrennten Boxplot für die Körpergröße. Hierbei wird die Lage des arithmetischen Mittels durch einen roten Punkt dargestellt.

Applet - Explorative Datenanalyse -- Datensatz "AML" - Boxplot "Größe" mit Split "Geschlecht" 
Applet - Dot Plot, Diamond Plot, Box Plot
Die Quantile werden in der Medizin häufig angewandt z.B. zur Festlegung von Normbereichen. Abbildung 2.8 zeigt ein Diagramm, in das bei den Säuglingsvorsorgeuntersuchungen die Körpergröße in Abhängigkeit vom Alter eingetragen wird. Dargestellt sind das 0.03-Quantil, der Median und das 0.97-Quantil der Körpergröße in Abhängigkeit vom Alter des Kindes. Im Bereich zwischen den Quantilen befinden sich etwa 94% der Grundgesamtheit. Kinder, deren Körpergröße dauerhaft nicht in diesen Bereich fällt, gelten als auffällig groß bzw. auffällig klein. Bei ihnen wird untersucht, ob eine Entwicklungsstörung vorliegt.
Abbildung 2.8: Somatogramm

2.6 Häufigkeitsmaße in der Epidemiologie
In diesem Abschnitt werden die wichtigsten epidemiologischen Maßzahlen definiert.
Die Neuerkrankungsrate oder Inzidenz einer bestimmten Krankheit ist der Anteil der Personen einer definierten Population, die in einem bestimmten Zeitraum (ZR) an dieser Krankheit neu erkranken:
Inzidenz = (Anzahl der neu Erkrankten im ZR)/(Anzahl der Personen der Population im ZR)
Die Prävalenz einer bestimmten Krankheit ist der Anteil der Personen einer definierten Population, die zu einem bestimmten Zeitpunkt (ZP) erkrankt sind:
Prävalenz = (Anzahl der Erkrankten zum ZP)/(Anzahl der Personen der Population zum ZP)
Die Todesrate oder Mortalität ist der Anteil der Personen einer definierten Population, die in einem bestimmten Zeitraum (meist 1 Jahr) sterben:
Mortalität = (Anzahl der Gestorbenen im ZR)/(Anzahl der Personen der Population im ZR)
Angaben über die Mortalität können auch auf eine bestimmte Krankheit bezogen sein:
Mortalität =(Anzahl der infolge der Krankheit Gestorbenen im ZR)/(Anzahl der Personen der Population im ZR)
Die Letalität ist der Anteil der an einer bestimmten Krankheit in einem bestimmten Zeitraum (meist 1 Jahr) Gestorbenen, bezogen auf die Gesamtanzahl der an der betrachteten Krankheit Erkrankten einer definierten Population:
Letalität = (Anzahl der an der Krankheit Gestorbenen im ZR)/(Anzahl der Erkrankten im ZR)
Die Letalität wird nur für akute Erkrankungen betrachtet, bei denen man davon ausgeht, dass die Erkrankung und deren Ausgang in der Regel in den gleichen Zeitraum fallen. Alle Maßzahlen sind relative Häufigkeiten und beziehen sich auf eine definierte Grundgesamtheit(Population) und einen definierten Zeitraum. Inwieweit die jeweils berechnete Maßzahl sinnvoll interpretiert werden kann, muss im Einzelfall geprüft werden:
- Die Inzidenz hat wenig Aussagekraft bei Erkrankungen, an denen eine Person während des betrachteten Zeitraums mehrfach erkranken kann.
- Die Angabe der Letalität hat nur bei akuten Erkrankungen einen Sinn.
- Die Angabe der "Anzahl der Personen der Population im ZR" bedarf im konkreten Fall der genauen Erläuterung.
Beispiel 2.6
In den entsprechenden Veröffentlichungen des Statistischen Bundesamts, der Statistischen Landesämter sowie in den Schriftenreihen der zuständigen Ministerien und Krebsregister findet man z. B. folgende Angaben:
o In der Bundesrepublik kommen pro Jahr 40 Herzinfarkte auf je 10 000 Einwohner (Inzidenz).
o In der Bundesrepublik gibt es 350-000 Epileptiker, d. h. etwa 50 auf je 10 000 Einwohner (Prävalenz).
o In der Bundesrepublik gab es 1990 71 300 Todesfälle durch Herzinfarkt. Bei ca. 80 Millionen Einwohnern ergibt sich daraus eine Mortalität von ca. 0.09 % (71 300/80 000 000).
o Die Letalität der akuten lymphatischen Leukämie bei Kindern ist von 100% im Jahre 1970 auf 30% im Jahre 1990 zurückgegangen.
Applet-Graphische Darstellung von qualitativen Merkmalen
Applet-Explorative Datenanalyse
Javascript - Statistische Maßzahlen
Applet - Dot Plot, Diamond Plot, Box Plot